Preparando Whataform.com

Header Plantillas Whataform
Prueba de Matemáticas 📝
A continuación podrás encontrar las preguntas del examen final del curso
Indique a que curso pertenece.
La suma de los números complejos A = - 3 + 2i y B = - 2 - 5i, da como resultado:
Para dividir dos números complejos, debemos amplificar por el conjugado del numerador. Marca: Verdadero (Si) Falso (No)
Indica, Cuál de las siguientes gráficas corresponde a la gráfica del número complejo A = - 2 + 3i.
El resultado de multiplicar los números complejos A = - 4 - 3i por B = 5 - i da como resultado:
El resultado de i elevado a la 462 es: Nota: Escribe en el espacio solamente el valor de la solución.
Dados los números complejos A = 8 + i y B = 3 + 2i, el cociente de A/B es:
Una de las siguientes raíces imaginarias es incorrecta:
Un número complejo es la unión de dos números: un imaginario y un real. La frase es: Correcta (SI) o Falso (NO)
Dados los números complejos: A = 4 + 5i , B = - 2 - i y C = 6 - 3i. La operación 2A + 3B - C, da como resultado:
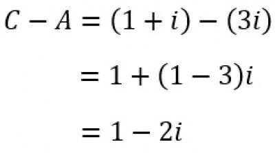
Dado A = 3i, B = 5 - 2i y C = 1 + i. En las siguientes imágenes selecciona TODAS las operaciones correctas:

Gracias por tu tiempo y dedicación para responder esta prueba. Pronto obtendrás los resultados

© Whataform | Reportar abuso

Header Plantillas Whataform

Plantillas Whataform

Gracias, hemos guardado tu información!

Ver detalle

Enviar una nueva orden

© Whataform